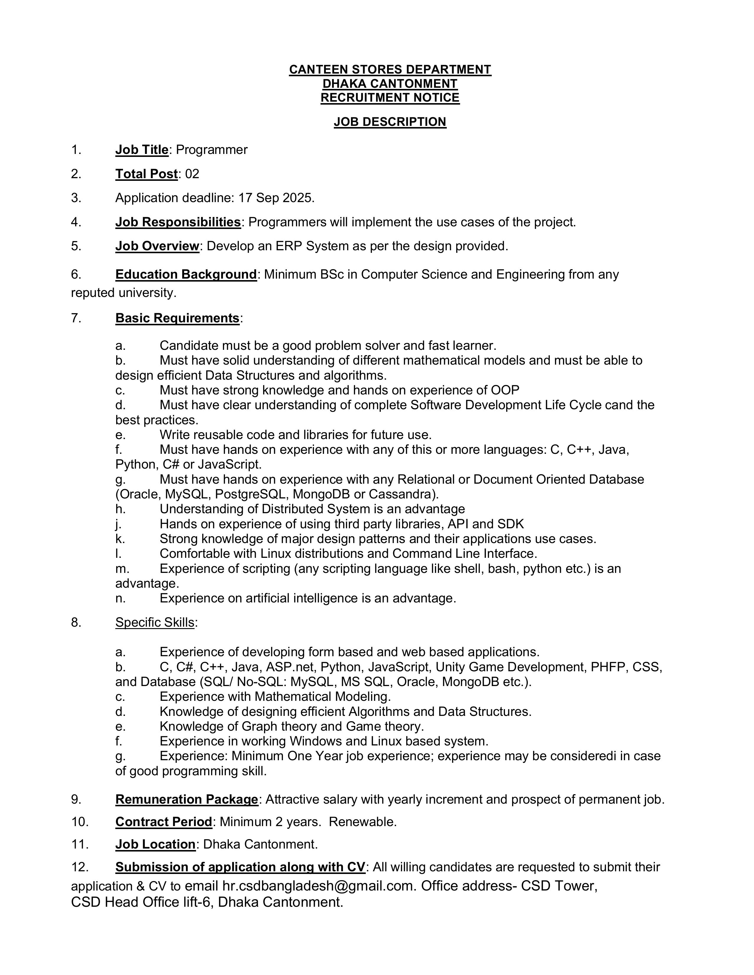
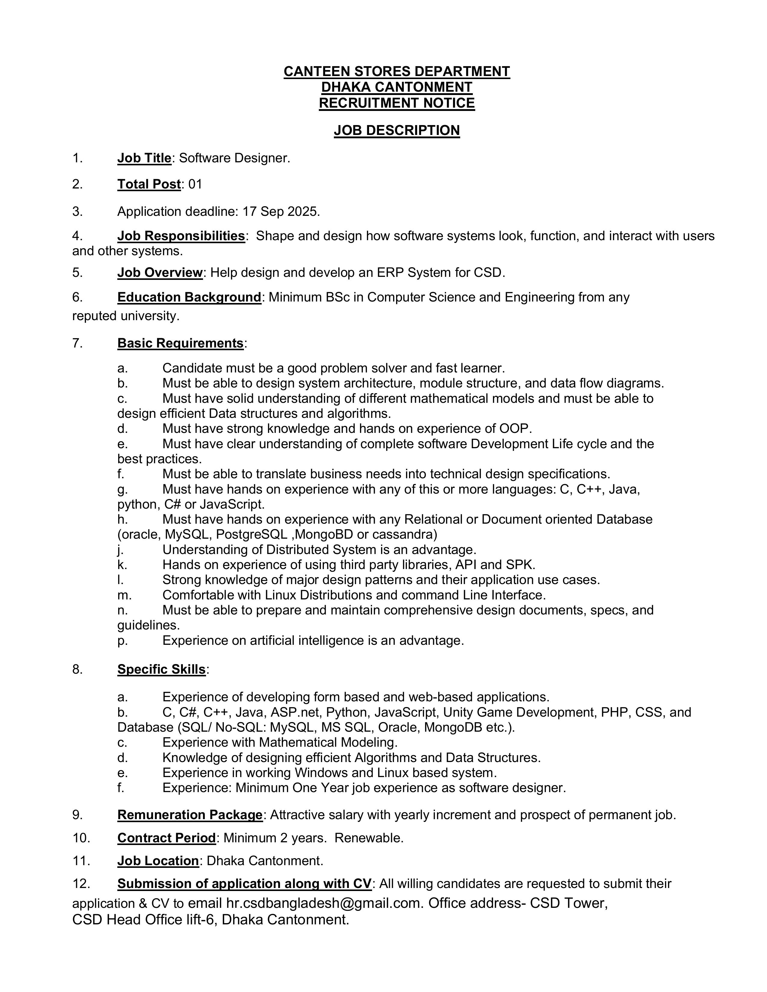
CSD Bangladesh
Canteen Stores Department
Toggle navigation
☰
Home
(current)
About Us
Our Services
Super Shop
Exclusive Shop
Agro & Farming Project
Tess & Catering
Captains Bakery
Captains World
CSD Trading
CSD Filling Station
CSD Travels
Money Exchange
Sweetmeet Factory
CSD Medicine Shop
CSD Management
Discount Form
Notice
Career
Photo Gallery
Contact